Loans
  • Dmca
  • Contact
  • Privacy Policy
  • Copyright

Lloyds Loans Customer Services

Thousands Of Lloyds Bank Customers To Get Refunds For Incorrect

Thousands Of Lloyds Bank Customers To Get Refunds For Incorrect

Barclays To Sell On Lloyds Irish Mortgages After 4 6bn Deal

Barclays To Sell On Lloyds Irish Mortgages After 4 6bn Deal

Lloyds Banking Group Plc Profit Plummets After Taking Big

Lloyds Banking Group Plc Profit Plummets After Taking Big

Lloyds Bank Internet Banking Help Support

Lloyds Bank Internet Banking Help Support

Lloyds Scrambles Staff Amid Flak Over Loans Business The

Lloyds Scrambles Staff Amid Flak Over Loans Business The

Lloyds Bank Lloyds Banking Group Plc
Https Www Mbna Co Uk Assets Pdfs Loans Personal Loans Sample Agreement Pdf
Lloyds Stops Ppi Sales Payment Protection Insurance The Guardian
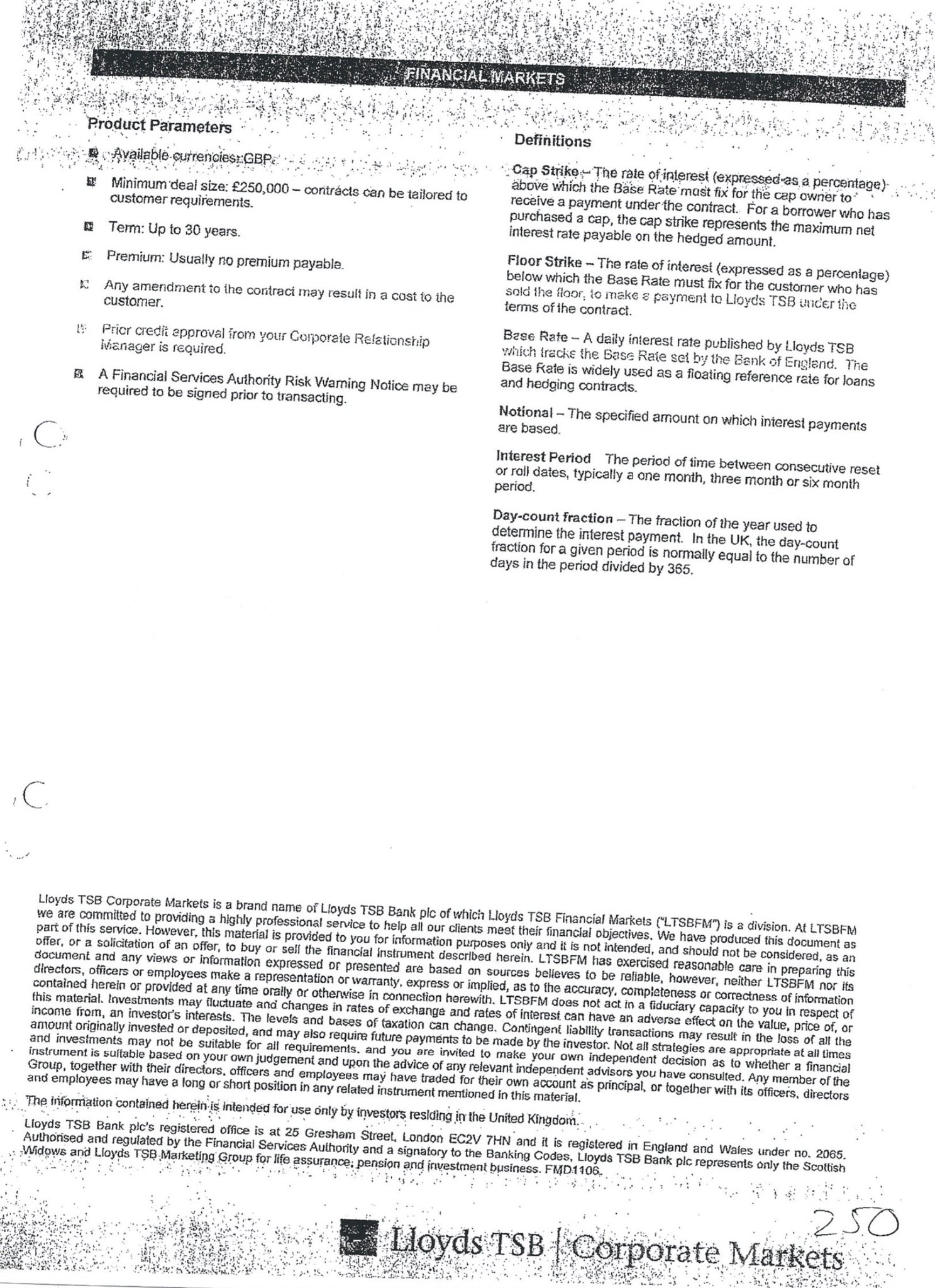
Paul Carlier On Twitter This Is The Lloyds Brochure Given To
Lloyds Bank Careers Home Lloyds Banking Group Plc
Apple Pay Goes Live For Lloyds And Halifax Customers But Barclays
Contact Of Lloyds Bank Customer Service Phone Email
Lloyds Bank Can Service Be Sustained After Another Round Of
Bwu7zt1mfnsc M
Lloyds Bank Internet Banking Viewing Statements Online
Lloyds Set To Halve Carbon Emissions It Finances In 10 Years
Uk Banks Pressured To Relax Bailout Loans Rules Financial Times
Uk Banks Offer Mortgage Holidays For Customers Affected By
Classic Account Uk Bank Accounts Lloyds Bank
How To Set Up A Standing Order Payments Lloyds Bank
Service Quality Results Santander Uk
Lloyds Bank Secured Borrowing Products
Bounce Back Loan Scheme Coronavirus Lloyds Bank
Lloyds Bank Uk Customer Service Email Address لم يسبق له مثيل
Lloyds Banking Group Average Employee Headcount 2012 2019 Statista
Bank Of Scotland Business Banking 2020 Reviews Fees Charges
Lloyds Loan Calculator Are You Getting The Best Rate
Lloyds Bank Internet Banking Viewing Statements Online
Lloyds Banking Group Prohibits Its Customers From Purchasing
Banking Online Business Banking Lloyds Bank
Personal Loans Loans Lloyds Bank
Lloyds Bank Internet Banking Help Support
Name Checking Confirmation Of Payee Cuts Bank Scams By 31 This
200 000 Lloyds Halifax And Bank Of Scotland Customers To Get
Lloyds Bank Cardnet Review Ratings Comparison
Lloyds Bank Business Contact Number لم يسبق له مثيل الصور Tier3 Xyz
Lloyds Profits Plunge As It Ramps Up Loan Provisions Financial Times
Kf6a556jn7mzam
Latest Scams Protecting Yourself From Fraud Lloyds Bank
Lloyds Bank Free Customer Service Contact Numbers Email
Coronavirus Rbs Lloyds And Barclays Offer Customers Support
Lloyds Banking Group Plc Profit Plummets After Taking Big
Lloyds Bank Reviews Read 643 Genuine Customer Reviews
Lloyds Bank Commercial Banking Home
Coach Tours Firm Parrys Gets 800 000 Support From Lloyds Bank
Covid 19 Lloyds Offers Credit Card Payment Freeze To Vulnerable
Lloyds Bank Mobile Banking On The App Store
56 Lloyds Halifax And Bank Of Scotland Bank Branches To Close
Banks Are Inundated With Requests For Bounce Back Loans This
Lloyds Bank Halts Small Business Lawsuit After Andrew Bailey Steps
Lloyds Bank Reviews Read Customer Service Reviews Of Lloydsbank Com
Classic Account Uk Bank Accounts Lloyds Bank
Lloyds Bank App And Internet Banking Down As Customers Struggled
Coronavirus Lloyds Banking Group Plc Rbs And Barclays Offer Help
Lloyds Bank Contact Us From The App
Isle Of Man Lloyds Bank International Islands Retail
Lloyds Overdraft Fees Unacceptable Says Mp Bbc News
Lloyds Bank Business Account Review July 2020 Fees Safety
Lloyds Bank Cardnet Review Ratings Comparison
Lloyds Bank Uk Mobile Banking Register Your Device
Banking With Lloyds For 40 Years Helped It Uncover My 12k Ppi
Customer Centric Decisioning At Lloyds Banking Group Ppt Video
Our Strategy Lloyds Banking Group Plc
Lloyds Bank Internet Banking Viewing Statements Online
Lloyds Bank Business Account Review July 2020 Fees Safety
Hsbc And Lloyds Announce New Measures To Help Customers During
Presentation 1 Lloyds Banking Group External 1 Final Draft
Lloyds Wizardly Tally Of Probable Coronavirus Loan Losses
Tsb Bank United Kingdom Wikipedia
Lloyds Bank Internet Banking Viewing Statements Online
Lloyds Announces In App Service To Let Customers Cancel
The U K S Biggest Financial Scandal Bites Its Biggest Bank Again
Lloyds Loans Direct 2004 Legalbeagles Forum
Lloyds Bank Student Loans Up To 10 000 Lenders List
Bounce Back Loans Help For Small Businesses And Income Support
4 Million Lloyds Customers Handed Payouts For Litany Of Blunders
Lloyds Banking Group Wikipedia
Lloyds Bank Profits Plunge 95 Per Cent As Lender Forecasts
Lloyds Bank Mobile Banking By Your Side Apps On Google Play
Barclays Lloyds Rbs And Hsbc All Hit By Travelex Cyber Attack
Lloyds Bank Just Closed My Bank Account Cash Isa
Lloyds Bank Mobile Banking On The App Store
Lloyds Bank Uk Savings Close A Savings Account
Our Partnership With Lloyds Bank Bank Of Scotland And Halifax
Lloyds First Quarter Profit Crashes 95 Per Cent On Coronavirus
Our Approach To Ring Fencing Lloyds Banking Group Plc
Lloyds Personal Loan Alternative Cashfloat
Lloyd S Financing Corp Home Facebook
Halifax Lloyds Tsb And Natwest S Fake Letters As Bad As Wonga S
The Deposit Conundrum
Coronavirus Why Is Lloyds Bank Being So Slow To Lend Business
Lloyds No Personal Guarantees Coronavirus Business Interruption Loan
Lloyd S Success Story Attensity
Lloyds Bank Same Day Loans Up To 25 000 Lenders List
2 34 Apr Lloyds Bank Equity Release Best Lifetime Mortgage 2020
Lloyds Bank Plc S E Spain Formerly Lloyds Tsb Bank Plc S E
Lloyds Bank Mobile Banking On The App Store
Lloyds And Natwest Lay Out Missed Mortgage Payment Plans Due To
Ppi Hits Lloyds Gains As Bank Reports 26 Drop In Pre Tax Profit
Lloyds Bank Contact Us From The App

Random Posts

  • Hermanos Loans Houston Tx
  • Debt Consolidation Loans High Approval
  • Land Loans Jackson Ms
  • Lloyds Loans Payment Break
  • Grants For Minority Small Business Owners
  • Debt Consolidation Loans Good Idea
  • Ias 39 Loans And Receivables Example
  • Crisis Loans On Universal Credit
  • Home Loan Login Sbi
  • International Loans No Credit Check
Dmca Contact Privacy Policy Copyright