Loans
  • Dmca
  • Contact
  • Privacy Policy
  • Copyright

Loan In Islamic Banking

Islamic Finance Tasks And Handouts

Islamic Finance Tasks And Handouts

Development Of The Islamic Banking System

Development Of The Islamic Banking System

The Future Of Islamic Finance In China Marketing China

The Future Of Islamic Finance In China Marketing China

Organizational Structure Islamic Banking And Finance Organizational Chart Png Clipart Angle Area Bank Company Institution Free

Organizational Structure Islamic Banking And Finance Organizational Chart Png Clipart Angle Area Bank Company Institution Free

Global Aspirations Finance Development September 2015

Global Aspirations Finance Development September 2015

Https Papers Ssrn Com Sol3 Delivery Cfm Ssrn Id3492835 Code2966362 Pdf Abstractid 3492835 Mirid 1
Pdf Comparative Analysis Of Financial Reporting Practices In Conventional And Islamic Banks In Malaysia
Pdf Prospects Problems And Potential Of Islamic Banking In India
Non Muslim Customer Preferences Towards Islamic Banks In Semarang Al Muzara Ah
The Difference Between Islamic Banking Financing And Conventional Banking Loans Islamic Bankers Resource Centre
Islamic Bank Islamic Banking And Finance Banks
Islamic Banking Interest Free Or Interest Based Sciencedirect
Pdf Classification And Management Of Non Performing Loans Of Islamic Banks And Conventional Banks A Comparative Study
How Islamic Finance And Investment Limited Is Changing Mainstream Finance In Bangladesh
Pdf Riba Free Loan In Islamic Finance Key To Social Development And Welfare
The Time Value Of Money Concept Did Islamic Finance Get It Wrong
The Impact Of Monetary Policy On Islamic Bank Financing Bank Level Evidence From Malaysia
Islamic Finance Country Profiles Asian Development Bank
Pdf The Role Of Islamic Banking In Economic Growth Semantic Scholar
Https Media Neliti Com Media Publications 271280 Why The Rate Of Financing In Islamic Ban B8c73404 Pdf
Shariah Compliant Fintech To Improve Financial Inclusion Business The Jakarta Post
Blockchain Technology In The Islamic Finance Banking By Yousuf Ikram Hada Dbank Medium
About Me Su Selviautama
Pdf Chapter 1 Introduction To Islamic Banking And Finance Learning Objectives A Basis Of Islamic Banking And Finance Pam U Academia Edu
Islamic Finance How Does It Make Money Without Interest Saraycon
Global Report On Islamic Finance 2018
Islamic Banking And Finance Research Papers Academia Edu
How Does Islamic Finance Work Youtube
Islamic Finance In Indonesia
Islamic Banking Versus Commercial Banking Ppt Video Online Download
The Impact Of Monetary Policy On Islamic Bank Financing Bank Level Evidence From Malaysia
Thread By Safdaralam Thread The Myth Of Profit Sharing In Islamic Banking One Of The Main Features Of Islamic Banking That Makes It So Different Is That Of Profi
Islamic Banking Finance What Is Holding Back Sharia Finance In Indonesia Indonesia Investments
Https Encrypted Tbn0 Gstatic Com Images Q Tbn 3aand9gcrimgunndvdq4uquidimyvzg4cqta5avjggkhrkmfmrh8maqnko Usqp Cau
2
The Concept Of Islamic Finance Through Islamic Banks
Bank Fatwas On Islamic Banking And Finance Free Banking Student Loan Islamic Ruling On Banking Business Finance
Green Banking How To Enhance Banking Policy On Sustainable Development Renewable Energy And Biodiversity In Indonesia Indonesian Journal Of Islamic Economics And Finance
Types Of Riba The First And I B F Institute Of Islamic Banking Finance Facebook
Comparative Analysis Of Profit Rate Of Islamic Banks Wbiaus Org
Icd Thomson Reuters Islamic Finance Development Report 2017
Islamic Banking History Timeline Download Scientific Diagram
Islamic Finance System In Turkey Expat Guide Turkey
Pdf The Impact Of Macroeconomic On Nonperforming Loan Comparison Study At Conventional And Islamic Banking Semantic Scholar
Alami Wants To Prove Islamic Finance Can Be Profitable
Islamic Banking And Finance Investment Banking World Bank Png 2000x2000px Bank Area Bank Statement Brand Business
Refinancing Islamic Banking And Finance Bank Globe World Loan Png Pngwing
Flush With Cash From Would Be Pilgrims Indonesias Islamic Banks Expect Lending To Rise Mes Uk
Islamic Social Finance Report 2017 From Irti Islamic Finance Expert
Top 2 Important Questions About Islamic Loan
Prestige Raffles Islamic Banking On Personal Financing Loan Facebook
Islamic Banking And Shariah Banks In Indonesia Gbg
Islamic Financial System And Conventional Banking A Comparison Sciencedirect
Islamic Financial System And Conventional Banking A Comparison Sciencedirect
Islamic Banking And Finance Computer Icons Loan Bank Png Pngwave
Chart Of The Week What S Dragging The Growth Of Islamic Banks In Asean Asian Banking Finance
3 Ways Islamic Finance Will Impact Asean
Https Papers Ssrn Com Sol3 Delivery Cfm Ssrn Id1999755 Code454519 Pdf Abstractid 1979970 Mirid 1
Islamic Banking And Finance Guarantee Islamic Banking And Finance Free 30 Day Trial Scribd
Https Encrypted Tbn0 Gstatic Com Images Q Tbn 3aand9gcrehfdn1wvm3ukzzcprhwjr6wmxngrrhf5n Bm1ndk27tnxjujc Usqp Cau
Ppt Importance Of Islamic System In Managing A Business Powerpoint Presentation Id 2950798
Pdf To Study The Perception Of The People Towards Islamic Banking In Egypt Dr Adil Ashhoob Academia Edu
Pdf The Islamic Banking Asset Quality Does Financing Segmentation Matters Indonesia Evidence
Islamic Development Bank Group Islamic Banking And Finance Png 1027x479px Islamic Development Bank Bank Brand Economic
Http Www Aljamiah Or Id Index Php Ajis Article Download 54201 277
How Different Is Islamic Banking From The Traditional Banking S Silverman Books Blog Writer
Is Islamic Banking Any Different From Conventional Banking Watch This Video To Enlighten Yourself Youtube
Thread By Safdaralam Thread The Myth Of Profit Sharing In Islamic Banking One Of The Main Features Of Islamic Banking That Makes It So Different Is That Of Profi
Y Islamic Banking Islamic Banking And Finance Banks
Islamic Finance Islamic Finance Opportunities Challenges And Policy Options
Islamic Finance Subprime Mortgage And Rosca Hello Gorgeous
Https Encrypted Tbn0 Gstatic Com Images Q Tbn 3aand9gcr8vk6ngokaggfx7mvi Bz5ngjhsidtcmtfegw Xrl 1yt10j4e Usqp Cau
Bachelor Thesis Islamic Banking
Https Media Neliti Com Media Publications 195584 En Risk Management Practices Of Selected Is Pdf
Indonesia S Ranking In Islamic Finance Jump Six Spots But Major Challenges Remain Business The Jakarta Post
Case Studies In Islamic Banking And Finance Case Questions Answers Case Study 1 Ijara Contract
Ppt Islamic Banking Versus Commercial Banking Prospects Opportunities Powerpoint Presentation Id 5120928
Suriname Seeks To Expand Islamic Banking And Finance Mina News
Islamic Banking And Finance Tutorial Class 1 Q A S
Salam Contract What Is Salam In Islamic Banking And Finance Aims Lecture Youtube
Indonesia Islamic Banking Sector Gbg
Pdf Islamic Finance Current Future Trends And Challenges
Islamic Banking And Finance Png Images Pngwing
Solution Manual And Test Bank Testbankbyte Authorstream
Islamic Finance Financial Inclusion Or Migration Emerald Insight
Http Www Isdb Am41 Org Wp Content Uploads 2016 07 Islamic Trade Finance Presentation Daud Vicary Abdullah Inceif Pdf
Characteristics Of Islamic Finance Saraycon
Islamic Finance Islamic Banking Is Not Islamic
Islamic Finance Could Be The Answer To Africa S Growth Problems World Economic Forum
Belt Road Plans Could Boost The Islamic Banking Sector Belt Road News
Pdf Islamic Microfinance A Missing Component In Islamic Banking Semantic Scholar
Islamic Finance Attracts Both Islamic Law And Conventional Investors Treasury Management International
Tazkia Islamic Finance And Business Review Tifbr
Https Encrypted Tbn0 Gstatic Com Images Q Tbn 3aand9gcs5gllijcywhoa0 Cmseeq8jbidoqr3qgfgspvvq4fmi9knrnwh Usqp Cau
Islamic Banking And Finance Sharia Bank Indonesia Png 670x630px Islamic Banking And Finance Area Bank Bank
Journal Of Islamic Monetary Economics And Finance
Https Businessperspectives Org Images Pdf Applications Publishing Templates Article Assets 8568 Imfi 2017 01 Lone Pdf
Journal Of Islamic Monetary Economics And Finance
Garuda Garba Rujukan Digital
The Impact Of Monetary Policy On Islamic Bank Financing Bank Level Evidence From Malaysia
Https Clutejournals Com Index Php Iber Article Download 9375 9458
Islamic Finance Financial Inclusion Or Migration Emerald Insight
Pdf Comparative Study Of Interest Rate And Profit Rate Of Traditional Islamic And Foreign Banks Hafij Ullah Academia Edu
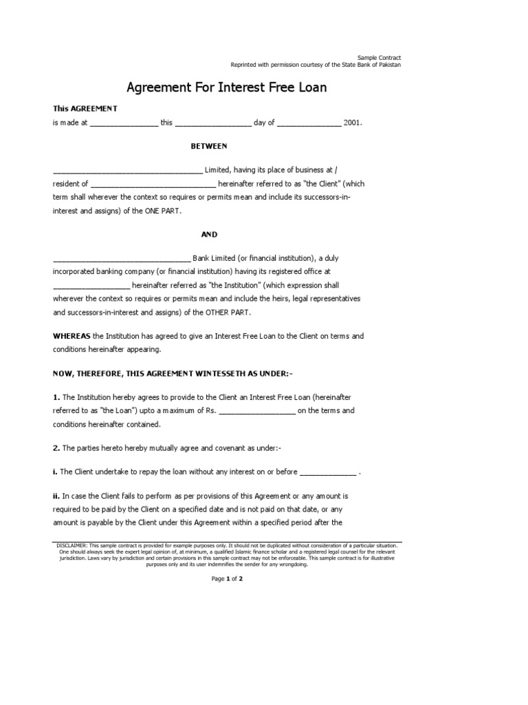
Sample Agreement For An Interest Free Islamic Loan Islamic Banking And Finance Loans

Random Posts

  • Home Loans With Navy Federal
  • Blacklisted Loans Same Day Payout In South Africa
  • Loans Admin Jobs London
  • Globe Mobile Loans
  • Bad Credit Loans No Guarantor Instant Decision
  • Ifrs 9 Intercompany Loans Bdo
  • Loan Officer Bank Salary
  • Easy Loans Saskatchewan
  • Loans Bad Credit Self Employed
  • Loan Definition Personal
Dmca Contact Privacy Policy Copyright